1. 개요
① 망원급수
부분적 항들의 합이 소거 후에 결과적으로 고정된 값만이 남는 수열의 합을 말한다.
이 테크닉은 상쇄 합, 차의 방법, 끼워넣기 합 등으로 불리운다.


② 부분분수
대수학에서 부분분수분해 또는 부분분수전개는 유리식의 분자나
분모의 차수를 낮추는데 이용한다.
전체 분수가 몇 개로 이루어진 분수의 합으로 표시된다.
본질적으로 정수 계수의 다항식들은 유클리드 정역이므로
유클리드 호제법을 이용할 수 있다.

망원급수의 합 형식으로 바꾸어 소거를 이끌기 위해서
위와 같이 두 개의 부분분수로 분해하는 것을 이항 분리법이라고도 부릅니다.
2. 예시
[1] 이항분리법1

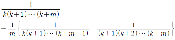
아래와 같이 끼워넣기 합 테크닉을 이용하여 소거 형식을 만들어 낼 수 있다.

이를 이용하여 이웃한 항을 소거하며 합을 구하면 다음과 같다.

[2] 이항분리법2

아래와 같이 부분분수분해를 이용하여 소거 형식을 만들어 낼 수 있다.

이를 이용하여 이웃한 항을 소거하며 합을 구하면 다음과 같다.

[3] 이항분리법3

[4] 이항분리법4


아래의 3차식이 항등식임을 이용하여 구한다.

양변의 k에 1, 2, 3, ..., n을 차례로 대입하여 모두 더하면



아래 4차식이 항등식임을 이용하여 구할 수 있으며 증명과정은 생략한다.

[5] 이항분리법5


3. 확장
분수식을 이항분리 또는 그 이상의 항들의 합으로 분리할 때,
부분분수 공식만으로는 해결하기 어렵다.
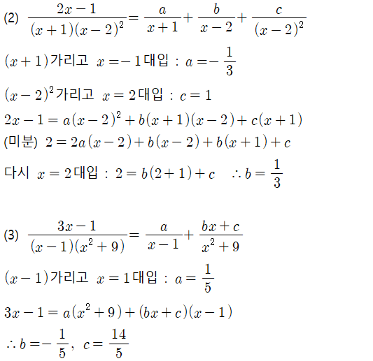
복잡한 분수식 분해에 특화된 계산 방법이 있다. (헤비사이드 가리기법)


4. 맺음말
끝으로 더 나아가 수치해석학에서 나오는
라그랑주 다항식 보간법에 관련된 문제를 소개한다.
이들 과정에는 어떤 연결성이 있음을 알 수 있다.


